温馨提示:本文最后更新于
2025-03-22 09:18:00,某些文章具有时效性,若有错误或已失效,请在评论区留言。正文概述
课程编号:Y2501-47
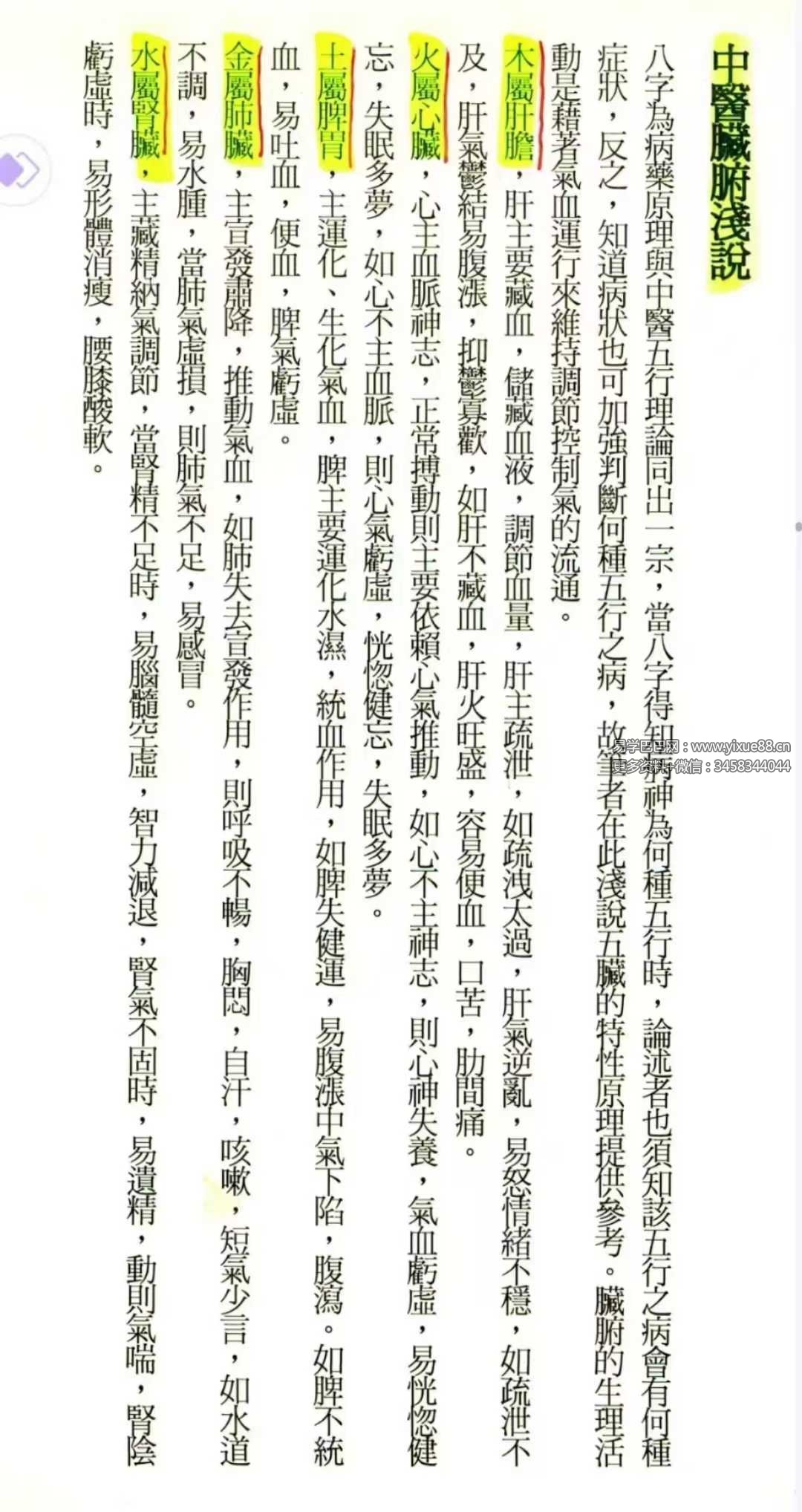
陈政蔚《八命字理婚姻应用指南》186页(部分页有面画线笔记,不响影阅读,清晰度可参下考方截图)
简介
本书将八字点重由简入繁,摒不弃必要文字,将八重字点放在婚姻,分初为级、中级、高级、范四例篇。由入门础基将四柱及神煞构建完成。八字重要理论放在级中篇的各种浅论,而高级将篇健康、事业、婚姻的判断方式重以点条例列出。最后例范篇,笔者以五十真个实案例将婚姻论做述重点。且者读必将高级中篇的论婚姻、早晚婚判定、男桃女色做熟读,方能做运为用指南。
陈政蔚,1974年生,任于连世欣国际络网公司命理师、福吉命旺理咨询命理师、中华民命国理师学会命师理会员、中华民族易经研究会学会员、一级网棒络购命物理顾问
![图片[9]-陈政蔚《八字命理婚姻应用指南》186页-真传国学](http://zc.chaonengli1688.cn/wp-content/uploads/2025/03/1015278207-1.jpg)
THE END

















暂无评论内容